Identify the product of the following reaction.
Question:
Identify the product of the following reaction:
![]() |
Options:
![]() |
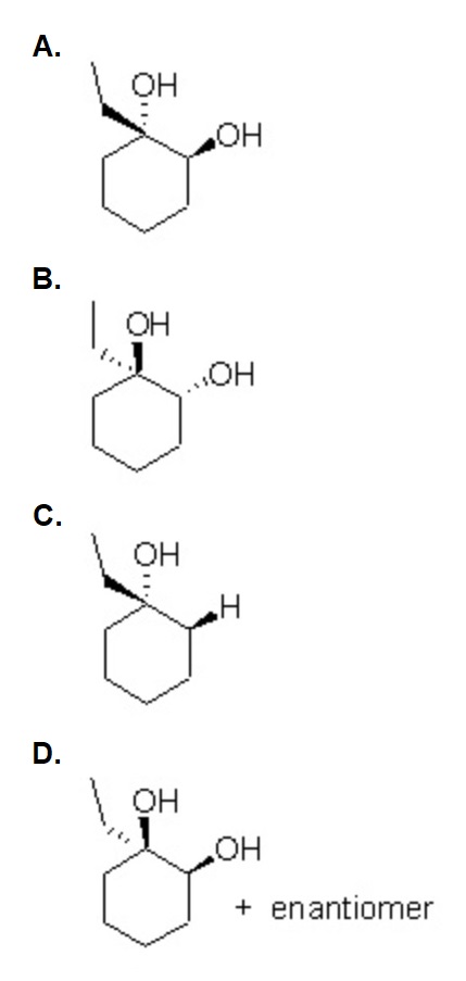
Dihydroxylation of Alkenes:
Alkenes are unsaturated hydrocarbons that undergo characteristic electrophilic addition reactions with different substances.
With osmium tetraoxide and sodium bisulfite, alkenes undergo dihydroxylation in which two hydroxyl groups get attached to the doubly-bonded carbon atoms of the alkene.
Stereochemically, the addition is syn and gives rise to two stereoisomers.
Answer and Explanation:
Become a Study.com member to unlock this answer! Create your account
View this answer- The given alkene undergoes syn-dihydroxylation in which two enantiomeric diols are produced.
![]() |
- Thus, option D is correct.
See full answer below.
Learn more about this topic:
Get access to this video and our entire Q&A library
Alkene Overview, Formula & Properties
from
Chapter 6 / Lesson 22Learn about what an alkene is and explore the alkene formula and alkene examples. See examples of different types of alkene compounds and what alkenes are used for.
Explore our homework questions and answers library
Browse
by subject


